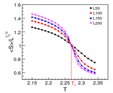
在目前对相对论重离子碰撞中QCD 相变临界起伏尚无定量判据的情况下,率先指出相对论重离子碰撞中形成系统的有限尺度效应不能忽略,在临界点附近,观测量应该服从有限尺度标度规律,并建议了可能的有限尺度标度性形式;给出如何从实验数据中发现其固定点和直线行为特征,确定临界碰撞能量位置(图)。


图:不同系统尺度下序参量随温度的关系
采用反应末态带电多重数密度(dN/dη)作为系统尺度(L)的表示,将标度依赖行为体现为系统尺度的幂指数(-a),结合实验数据及其测量误差,可寻找不同-a 取值时,特征量非统计涨落或关联的标度化程度。δ越小代表标度化程度越好,δ小且-a 不为1 则代表可能存在相变临界行为。应用这一方法,我们分析了RHIC/STAR 数据中相关观测量—横动量关联、K/π产额比、净电荷数起伏在4 个入射能量下随碰撞中心度的变化,发现其标度指数接近整数,更像平滑过渡。即将完成的RHIC 能量扫描将提供更多、更好的数据。全面分析所得到的数据,将有助于我们给出更确切的对临界行为的判定。此外,还将尝试采用其它特征物理量的非统计涨落寻找其标度依赖性。论文在Cent. Eur. J. Phys., 上发表。