欢迎光临我们的网站! 联系我们   |   设为首页
首页 实验室概况 研究队伍 人才培养 科研成果 合作交流 科研资料共享 运行管理
首页 > 新闻动态 > 实验室新闻 > 正文
科研动态丨计晨课题组在原子精密谱的核效应修正研究中取得新进展
发布日期:2024年07月28日

近日,华中师范大学物理学院粒子物理研究所计晨副教授课题组在原子精密谱中的核效应研究中取得了新进展。相关成果以“Nuclear Structure Effects on Hyperfine Splittings in Ordinary and Muonic Deuterium”为题,于2024年7月25日发表在国际权威物理期刊《物理评论快报》(Physical Review Letters)。

原子超精细劈裂现象来源于原子内核与轨道轻子的磁矩耦合,对其精密测量是探究核结构和检验束缚态量子电动力学(QED)的重要实验平台。然而,由于涉及核结构与核电磁激发的双光子交换效应的高阶修正,对原子超精细劈裂的QED预测和实验测量存在较大差异。传统理论在精确预测双光子交换效应方面一直存在困难。

计晨课题组通过引入光核反应理论,严格计算了双光子交换中的原子核虚激发过程。结合无Pi介子有效场核力理论,该研究预测了氘原子1S态与缪氘2S态超精细劈裂中的双光子交换核效应修正分别为41.7(4.4) kHz和0.117(13) meV,取得了与实验测量一致的结果。这一研究解决了氘与缪氘原子超精细劈裂测量与QED预测之间长期存在的不一致性,突显了核结构效应对原子超精细劈裂谱的重要贡献,标志着在利用精密光谱学探测核结构方面取得了重要突破。

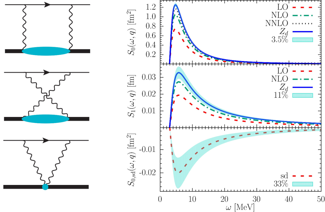
附图:轨道轻子-原子核双光子交换过程(左图)和与之对应的氘核电磁激发响应函数(右图),理论计算的精度随有效场论幂次展开逐步提高。

这项研究为未来在原子光谱学领域中通过精密测量探测核结构提供了新的视角,并为今后一系列原子超精细劈裂测量中探究核结构效应构建了统一的理论框架。

华中师范大学物理学院计晨副教授为该论文的第一作者和唯一通讯作者,课题组成员硕士研究生张祥参与了此项工作,合作者包括美国田纳西大学的Lucas Platter副教授。华中师范大学为该论文的第一完成单位。该研究得到了国家自然科学基金委项目(12175083,12335002,11805078)的资助。

论文详见:

https://link.aps.org/doi/10.1103/PhysRevLett.133.042502



END

华大物院党委融媒体中心

华大物院团委宣传中心

通讯员|计 

责 编|邓会柠

审 校|俞云伟


上一篇:王新年教授获洪堡研究奖
下一篇:科研动态丨毛亚显教授在ALICE国际合作组喷注研究中取得新进展
友情链接
IHEP IHEP IHEP IHEP IHEP
  
地址:湖北省武汉市珞喻路152号   Webmaster:liuchao@ccnu.edu.cn华中师范大学夸克与轻子物理教育部重点实验室