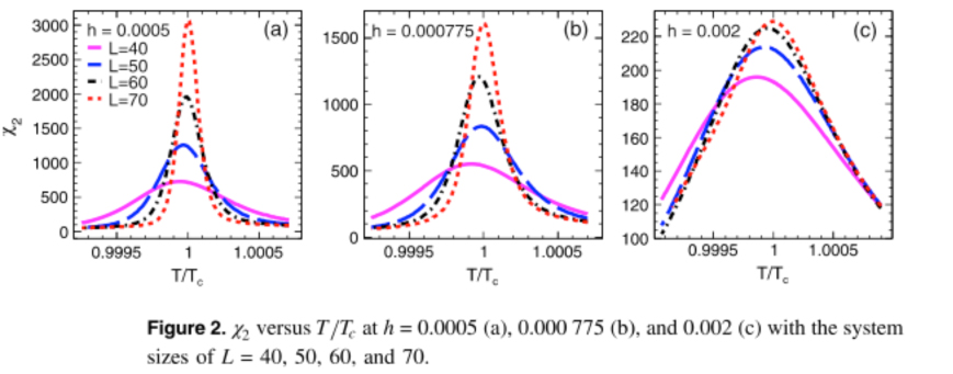
三维三态Potts模型是有限温度纯规范量子色动力学的一个例子, 通过对它的蒙特卡罗模拟,我们分别在一级相变、二级相变和平滑过渡的外场下计算了相变温度附近的广义磁化率的起伏。在三个不同的给定外场下,相似的峰状起伏出现在二阶磁化率中(如图2所示),震荡起伏出现在三阶到四阶磁化率中。所以,在一个有限系统里,非单调起伏不仅出现在二级相变,一级相变和平滑过渡时也会出现。进一步, 我们对二阶和四阶磁化率分别做了有限尺度标度分析。 指出:它们标度指数的数值在不同的相变区域是不一样的,可以用作判别相变级数,或者平滑过渡(如图7所示)。该工作已接受发表在J. Phys. G: Nucl. Part. Phys. 42 (2015) 015104 。

