提出测量末态强子的平均横向快度的方位角分布。相比传统的多重数方位角分布,它能更直接的探测发射源横向扩展。采用AMPT弦融化模型产生的事件样本,我们证实了,该分布的各项同性部分是径向运动和热运动的组合,方位角依赖部分测量了由非中心碰撞引起的横向运动的各向异性。采用广义的Blast-Wave参数化,我们从相同样本获取了温度和径向流参数。结果发现各向异性径向快度的参数和上述分布的方位振幅一致。因此,该分布提供了一种直接测量各向异性径向流的方法。它对于流体力学的计算和直接测量相对重离子碰撞中切变粘滞系数有重要意义。论文发表在J. Phys. G:,并在国际多粒子动力学会议上报告。

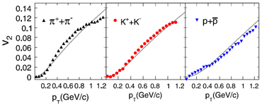
图:不同种类粒子v2随横动量的依赖关系