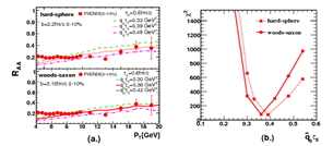
在由多重部分子散射和胶子韧致辐射所引起的喷注淬火的图像中,部分子碎裂函数的介质修正以及由此得到的大横动量强子谱的压低,均由沿喷注传播路径方向的喷注输运参数的值和它在时空演化所决定的。我们还通过高纽度(HT)方法得到了介质修正的部分子碎裂函数,利用NLOPQCD部分子模型,计算了RHIC能量下高能重离子碰撞中单强子谱的压低因子,并通过与实验数据的对比进行了分析。假定无论在QGP介质中还是在强子相中,喷注输运参数q都正比于粒子数密度,而e-A深度非弹性散射(DIS)中的喷注淬火的实验数据又可以为我们提供一个在热强子相物质中的qh信息,因此,我们可以研究在初始时间角提取到的喷注输运参数q0的初始值对介质演化的依赖,其中,介质横向膨胀的效应,辐射流效应,相变以及非平衡态演化效应对如的影响也都得到了深入研究。我们发现提取到的如值从1+3D理想流体力学模型中的q0
0=0.54GeV2变化到了部分子级联模型中的0.96GeV2,这其中主要的不同来自介质物质初始时刻的非平衡演化以及后来的强子相演化。研究表明,强子相对喷注淬火的总贡献大概是22~44%,这是一个不容忽视的份额,也有很重要的意义,因此,早期部分子的非平衡演化的现实描述以及后来的强子相互作用,对重离子碰撞中强相互作用QGP介质巾的喷注淬火参数的精确提取都起着至关重要的作用。


(Xiao-Fang Chen, Carsten Greiner , 王恩科 , Xin-Nian Wang , ZheXu,Phys.Rev. C81 (2010) 064908)