纯湮灭过程的B介子非轻衰变因为不包含与旁观者散射相干涉的贡献,对于探索湮灭图贡献的强弱,以及研究相关的机制是非常合适的。最近,CDF和LHCb合作组相继宣布观测到了纯湮灭衰变和
等过程。基于这些实验上新的进展,我们在QCD因子化的框架下重新研究了
非轻衰变的硬旁观者修正和湮灭图修正。对于这两部分修正中存在的端点发散,我们采用了两种方案来进行处理:I传统的参数化方案;II红外有限的动力学胶子传播子。在方案I中,在考虑了的实验测量后,允许的参数


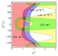
图:湮灭图参数
和
在,分别的限制下(左图)以及它们联合的限制下(右图)允许的参数空间
空间中存在两个(四个)被严格限制的解。在方案II中,当胶子动力学质量取为
时,我们发现大部分理论预言与实验数据相符合。然而,在两个方案下,都远大,这与实验观测相矛盾。值得注意的是,在一些其它的理论框架下,仍然成立。因此,目前的实验结果对B介子两体非轻衰变的理论构成了很大的挑战。将来更精细的实验测量和理论研究将有助于解决这一问题。