通常我们用测试粒子的方位角与事件平面角的关联来衡量各向异性流:但是有一个基本的假设:事件平面是一个常量,不依赖于赝快度选取。利用AMPT模型我们研究了事件平面的赝快度依赖关系,我们定义:
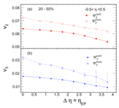
, 作为观测量。如果事件平面不依赖于赝快度,那么,关联强度的值应该为1. 但是我们发现(图1),经过事件平面分辨率修正后,测量值都小于1,随着Δη的增大,关联强度变小,事件平面的去关联效应越明显。这表明事件平面的去相关性并不是其分辨率造成的,存在着其他物理——forward和backward的赝快度区域的事件平面不一样。通常我们采用Δη方法,减少non-flow的贡献,与此同时,事件平面去相关性也会增强,这可能会影响各向异性流的测量。我们用中心快度区域(-0.5< η<0.5)的粒子的方位角与不同η区域的事件平面角的关联去测量v2和v3。随着δη的增大,v2和v3 的值呈现下降的趋势,由于事件平面的去相关性随δη增大而增强(图2),所以,下降趋势部分是由于forward 赝快度区域和中心快度区域的事件平面的去相关性引起的。此工作发表在phys. rev. c (r) 上。

图(1):赝快度区域事件平面的关联强度图 (2):v2和v3对于Δη的依赖关系随Δη的变化