高能核物理领域影响最大的国际会议,夸克物质会议,于2014年5月在德国Darmstadt召开。此次会议热点问题之一依旧是直接光子的椭圆流。2012年RHIC实验上PHENIX组观测到的直接光子椭圆流与强子的大小相当,而后LHC上ALICE实验确认这一观测。但是理论家目前普遍计算出强子的椭圆流比直接光子的大,难以解释这一现象。
我们建议,区分系统热平衡和化学平衡的时间来解释实验数据。因为热平衡可以通过粒子间的弹性和非弹性碰撞来实现,而化学平衡只能通过非弹性碰撞实现,QGP形成时间是应该迟一些。但是部分子阶段的化学成分不太影响热密物质的膨胀速度和物质的不对称分布,也就是说,不区分这两个时间尺度所进行的强子计算是有效的。在此基础上,采用能够解释末态强子数据的流体模型来计算光子,图1和图2分别显示了QGP形成时间对热光子和直接光子的谱线和v2的影响。

图1:左:不同QGP形成时间如0.35,0.75,1.15,1.55 fm/c 对热光子辐射谱的影响,右:不同QGP形成时间如0.35,0.75,1.15,1.55 fm/c 对热光子椭圆流的影响。

图2:左:不同QGP形成时间如0.35,0.75,1.15,1.55 fm/c 对直接光子辐射谱的影响,右:不同QGP形成时间如0.35,0.75,1.15,1.55 fm/c 对直接光子椭圆流的影响。
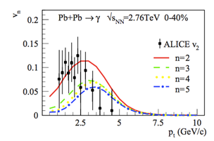
通过ALICE光子数据,我们抽取了2.76 TeV能量下PbPb碰撞中QGP形成时间大约为1.5 fm/c。由这一QGP形成时间,我门预言了直接光子不对称辐射的高阶流如图4,其中的三角流v3能较快与实验比较。

图3: QGP形成时间为1.5fm/c时,直接光子椭圆流和高阶流。 研究成果发表在Phys.Rev.C89, 034906, 2014.