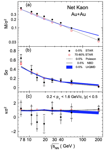
结合研究方向,简要概述本年度实验室取得的重要研究成果与进展,包括论文和专著、标准和规范、发明专利、仪器研发方法创新、政策咨询、基础性工作等。总结实验室对国家战略需求、地方经济社会发展、行业产业科技创新的贡献,以及产生的社会影响和效益。 围绕夸克物质信号及其性质以及粒子探测新技术,本年度实验室在夸克物质理论、高能重离子碰撞实验、粒子物理与高能碰撞唯象学方面,以及硅像素及快电子学新技术研发上取得了重要进展及一批物理成果。具体如下: 一、夸克物质物理理论 1) 利用机器学习辨别核核碰撞中QGP的状态方程: 我们模仿用机器深度学习识别图像的方法,建造了一个类似的神经网络用来辨别高能重离子碰撞中粒子谱中隐含的物态方程的信息。 我们首先把流体力学模型模拟出的末态粒子谱以2维图像的形式输入电脑来训练神经网络以识别每个事例中的物态方程。然后再用训练后的神经网络辨别另一组事列中的物态方程。 在这样的测试中,我们发现神经网络在学习大约22000张图像的重要特征后,辨别测试事例中的物态方程的成功率高达95%。同时我们还在测试过程中发现粒子谱中哪些区域对物态方程比较敏感。Nature Communications (2018)9:210 2) 利用线性玻尔兹曼输运理论(LBT)研究重离子碰撞中的碰撞淬火: 首先我们把在华师建立起的线性玻尔兹曼输运模型推广到了包括重夸克在QGP中的传播。这个输运模型模型中包括了喷注中部分子与介质的弹性和非弹性散射过程,同时也考虑到介质粒子的反弹效应。 我们利用这个模型对重离子碰撞中的重夸克、轻夸克介子的压低做了系统研究,发现模型可以同时描述轻夸克、重夸克介子压低的实验结果。我们进一步演示部分子的初始谱和碎裂函数对解释重夸克和轻夸克谱压低的差别。 同时我们也提取了喷注淬火系数对温度和喷注味道的依赖。Physics Letters B 777 (2018) 255. 利用线性玻尔兹曼输运模型我们还研究了光子标注的喷注输运以及其诱导的介质激发。我们发现,部分子能量损失加上介质响应可以很好的描述在LHC能量下光子标注的喷注的压低。 另外由于大角度多重喷注的压低,喷注淬火导致光子-喷注的方位角关联变窄, 而介质响应将光子-喷注的横向能量分布变宽。 Physics Letter B 782 (2018) 707 3) 光子-强子关联中的喷注诱发的介质激发效应: 我们开发了线性玻尔兹曼输运(LBT)和相对论流体力学模型耦合的模型(CoLBT)用来研究喷注诱发的介质激发效应。其中利用了显卡加速的3+1维流体力学模型 CLVisc.利用CoLBT模型,我们首次计算了LHC能区Pb+Pb反应中了光子-强子关联。 CoLBT可以同时描述领头强子的压低以及软强子的增强。而软强子的增强是在大约固定的强子横动量,反映其来自介质激发的热能量。这些软强子相对光子反方向的方位角分布比在pp碰撞中有很大的扩宽。 由于喷注后面的扩散波,在光子方向的软强子则被减少。Physics Letter B 777 (2018) 86. 4) Pb+Pb碰撞中bb ̅双喷注的横动量平衡和方位角关联 近年来,得益于欧洲核子中心的大型强子对撞机(LHC)和美国布鲁克海文国家实验室的相对论重离子对撞机(RHIC)的运行和不断升级,在实验物理学家和理论物理学家的通力合作下,高能物理领域取得了一系列重大发现。其中,高能喷注和重味强子作为探测QGP性质的重要探针,是尤为重要的研究方向,而同时兼备这两大探针特性的重味喷注已成为最重要的前沿研究之一。在我们的工作中,基于次领头阶+簇射(PS)精度的蒙特卡洛事件产生器Sherpa的模拟,我们能够很好地描述最近ATLAS和CMS实验组发布的p+p碰撞中 b喷注(单举b-jet)的产额和bb ̅双喷注的方位角关联。 与此同时,我们建立了Langevin 方程+高扭曲度的蒙特卡洛能量损失框架,以iEBE-VISHNU 流体模型输出作为介质环境,来同时模拟部分子在Pb+Pb碰撞中的碰撞能量损失和辐射能量损失, 并在Fastjet 中进行喷注重建,从而能够预实验结果进行比较。 首先,经过基于这个框架的蒙特卡洛事件模拟,我们计算了单举喷注和 单举b-喷注在质心能量为2.76 TeV的Pb+Pb碰撞中产额的核修正因子R_AA,通过比较,能较好地符合CMS实验组的观测结果。继而,我们首次计算了质心能量为5.02 TeV的对心度为0-10%,10-30%和30-100%的Pb+Pb碰撞中产生的bb ̅双喷注的横动量平衡,并与最近的CMS实验组的数据进行了对比,表明我们的理论框架基本能描述实验观测结果:由于部分子在Pb+Pb碰撞产生的热密介质中的喷注淬火效应,喷注的横动量减小,造成次领头喷注和领头喷注的横动量之比值减小,从而引起x_J=p_(T,2)/p_(T,1) 分布的整体左移,并在大x_J区域相比于p+p碰撞出现明显压低,这种行为与之前观测到的半单举双喷注横动量平衡的变化是很相似的。最后,基于我们的模拟计算,我们研究了介质修正对核-核碰撞中bb ̅双喷注角关联的影响,并给出了质心能量为5.02 TeV的对心度为0-10%的Pb+Pb 碰撞中bb ̅双喷注方位角关联的理论预言结果。由于bb ̅双喷注的产生是胶子劈裂,味道产生和味道激发三个过程的贡献,其中其主要作用的是胶子劈裂和味道产生,因此在方位角分布中能观察到明显的“双峰”现象。我们的计算表明,由于胶子劈裂过程产生的b-jet较之于味道产生产生的bb ̅双喷注更软, 且往往分布在夹角较小的区域,因此进行核修正以后,在归一化的方位角分布中,能观察到同位附近的峰值明显压低,而反位附近的峰会有明显抬升。 5)有质量规范玻色子或光子标注的喷注 我们研究了在大型强子对撞机实验中的相对论重离子碰撞中的规范玻色子标注的喷注的淬火效应。在我们的工作中,我们采用了次领头阶矩阵元组合的描述软的或者共线的辐射簇射机制的蒙塔卡罗事件生成器Sherpa产生初态的规范玻色子标注的喷注基准事件。然后运用线性玻尔兹曼输运模型研究模拟喷注粒子在夸克饺子等离子体中的传播,胶子辐射,以及喷注介质相互作用诱导的介质响应。根据高阶矩阵元修正组合软的和共线的辐射的事件生成器,以及精细处理喷注粒子传播过程中的能量损失和介质响应的模型,我们的数值结果能够很好地描述所有质子-质子碰撞和铅-铅碰撞中的规范玻色子标注的喷注的产生。我们的计算很好的解释了:由于喷注淬火效应导致喷注横向动量的减少,最终导致横向动量非平衡谱的偏移以及其平均值的压低(图15);喷注淬火效应导致的喷注产量的较少,导致了规范玻色子标注的平均喷注的个数的整体压低;以及喷注淬火效应对方位角关联分布的微弱修正。我们同时数值计算了高阶矩阵元修正对规范玻色子标记的喷注的关联的贡献。我们发现高阶修正对小的动量非平衡区域和方位角关联的分布非常的重要。 特别的,规范玻色子标注的多重喷注的压低导致了方位角关联的修正和小动量非平衡区域的压低的。文章发表在Phys. Rev. C98(2018) 021901(R)。 6)高能核核碰撞中双喷注以及孤立光子喷注的横动量反对称现象 基于Sudakov重求和理论改进的pQCD的理论框架,研究了高能核核碰撞中双喷注以及孤立光子喷注的横动量反对称现象。利用双喷注或者光子喷注的关联分析喷注在QGP中的输运性质,可以有两个观测量:一是方位角关联分布,二是横动量反对称量A_J或x_J。分析表明,高阶微扰量子色动力学能够很好地描述非背靠背区域方位角关联(即 Δψ≠π,或〖 A〗_J≠0,或〖 x〗_J≠1)的实验数据,但在 Δψ=π,或〖 A〗_J=0 ,或 x_J=1 附近发散。在这些端点区域,Sudakov重求和理论解释实验数据能够起到至关重要的作用。针对双喷注以及孤立光子喷注的横动量反对称现象,我们在相空间积分的非背靠背区域采用高阶微扰量子色动力学,而在背靠背区域附近采用Sudakov重求和理论,给出的双喷注以及孤立光子喷注横动量反对称分布的结果,较好地符合相关实验数据,如图1和图2所示。并在核核碰撞中引入能量损失机制,分析了喷注的输运性质。相关结果分别发表在【Phys.Lett. B782 (2018) 773-778】和【Nucl.Phys. B933 (2018) 306-319】。 7)基于AMPT模型研究了双喷注事件中能量损失的再分布问题。 我们首先分析了所有带电强子的整体动量平衡,然后比较了核核碰撞中喷注淬火效应导致的横动量反对称分布与核子核子碰撞中结果的不同,数值结果与实验数据符合较好。最后着重分析了喷注能量损失的再分布问题。数值结果表明,喷注损失的能量主要以大角度散射的方式被重新分布。我们关于能量损失的大角度散射程度的估算,与实验数据相比偏高,这可能是由于模型只计及了弹性碰撞能量损失,我们当前的计算缺少了共线辐射占主要贡献的辐射能量损失。相关结果发表在【PHYSICAL REVIEW C 97, 044903 (2018)】 8) 高能胶子饱和物理理论框架下的重求和 与美国伯克利国家实验室的袁烽博士合作,我们通过希格斯粒子产生的过程作为一个简单的范例,采用重整化群方程的技巧,在高能饱和物理理论框架中系统性地引入了阈值重求和的概念和计算方法。该研究弥补了该物理理论对于向前快度区域在唯象描述的不足,而且为在向前快度区域描述强子动量谱特别是大动量区域提供了新的思路。【Phys.Lett. B788 (2019) 261-269】。 同时,我们还通过数值计算,研究了质子-原子核碰撞中前向快度区域的双强子的角度相关性。一般来说,我们发现Sudakov重求和效应和饱和效应对于双强子的角度关联都会有重要的影响。最近的研究进展让我们可以在胶子饱和物理框架中加入重求和的效应。我们通过数值计算研究,给出了质子-原子核碰撞中的双强子角度关联性更准确的预言,这将有助于我们在未来的实验中寻找胶子饱和现象的实验信号。【Phys.Lett. B784 (2018) 301-306】。 另外,我们还通过研究喷注和希格斯粒子在有大快度分离的情形下的角度关联问题,发现此过程需要在BFKL演化的基础之上引入一种特殊的Sudakov重求和。该过程的特殊性来源于希格斯粒子的质量与喷注的横动量可以有很大的差别。此项研究有助于我们在理论上更加深入地理解在有大快度分离的情形下多个尺度并存的重求和方案。【Phys.Lett. B782 (2018) 28-33 】。 9)夸克质量与轴荷涨落和耗散及手征反常的高阶修正 在量子色动力学中,由于手性反常和非零夸克质量,轴荷不守恒。我们研究了夸克质量对轴荷的涨落和耗散的影响。采用有限温度QCD我们对描述轴荷动力学的轴荷关联函数进行了两种不同的计算。第一种是有限温度下的自由夸克情况。我们发现自由理论中的有效量子涨落可以导致轴荷的产生, 但该涨落并不遵循随机游走行为。由于存在轴矢流对称破缺质量项,轴荷也不会渐近地稳定到磁化率给出的热力学极限。第二种计算是在弱耦合夸克胶子等离子体中,我们发现在硬热(HTL)近似下,夸克胶子相互作用导致轴荷的随机游走增长,但耗散是不可见的。我们估计了轴荷的弛豫时间,发现它超出了HTL的范围。 研究结果发表在PHYSICAL REVIEW D 98, 054014 (2018); 进一步我们完成了有限温度下手征反常三角图的三圈计算,刚被 PHYSICAL REVIEW D 接收发表 10)泛函重整化群方程与一级相变 我们在用泛函重整化群方程研究QCD相变的基础上 ,进一步把它应用于Landau-de Gennes模型,研究了向列相各向同性相变(NI 相变)。导出了有效势、耦合常数和反常维数的重整化流方程。然后用牛顿-拉夫森方法数值求解网格上的耦合的流方程,观察到了一阶相变。 进一步研究了向列相各向同性之迷, 得到了NI转变温差Tc−T∗=5.85K。研究 结果发表在PHYSICAL REVIEW B 98, 014102 (2018) 11)外磁场下强耦合等离子体中的重夸克势 采用AdS/CFT方法研究了强耦合N=4 SYM等离子体中恒定磁场对重夸克势虚部的影响。我们分别考虑夸克偶素的轴垂直的和平行于磁场的情况。在这两种情况下,我们发现磁场的存在会增强虚势从而减小热宽度。另外,当夸克偶数的轴垂直于磁场而不是平行时,磁场对虚势的影响更大。 从全息原理出发,采用相当普遍的ADS/QCD度归,探讨重夸克势在强耦合等离子体相中的奇特屏蔽行为。研究结果分别发表在Physics Letters B 778 (2018) 227–232 和 Nuclear Physics B 938 (2019) 351–362 12)抽取谱函数的方法 我们发展了在格点QCD中从两点关联函数抽取谱函数的新的方法。这个方法推广了Maximum Entropy Method所采用的平均场近似到更一般的情况。它是基于贝叶斯理论的一个随机方法。我们分析了在0.75和1.5Tc时的格点数据,发现此新方法给出了与Maximum Entropy Method一致的结果, 从而可以缩小在抽取谱函数中存在的系统不确定度。”Stochastic reconstructions of spectral functions: Application to lattice QCD,“ H. T. Ding, O. Kaczmarek, S. Mukherjee, H. Ohno and H. T. Shu, Phys. Rev. D 97 (2018) no. 9, 094503. 二、高能重离子碰撞实验: 1、STAR合作组进展 1)高阶矩 守恒荷,如净重子(B)、净电荷(Q)以及净奇异数(S),的涨落很早就被理论家预言是重离子碰撞实验中寻找QCD相变信号以及临界点的灵敏探针。特别是守恒荷的高阶涨落,对系统的关联长度非常敏感,如四阶涨落正比于系统关联长度的且与系统的热力学磁化率直接相关。在临界点附近,利用系统的关联长度增大这一重要性质,可以在重离子碰撞实验中测量逐事件守恒荷分布的各阶统计矩来表征它们的涨落,如方差( Variance,s2 ),偏度(Skewness,S)和峰度(Kurtosis,k)等。这些各阶矩与系统的守恒量感应率可以直接联系起来。系统的感应率可以用系统压强对相应的化学势求偏导而得到。我们系统的对RHIC能量扫描中净K介子数分布的高阶矩进行了系统的测量。 实验结果发表在 Phys. Lett. B 785 (2018) 551。我们发现二阶和三阶段涨落随着碰撞能量的升高而下降。而四阶涨落由于统计误差较大,还无法给出确定的结论,我们需要在RHIC第二阶段能量扫描中进行更精确的测量。  RHIC金金碰撞54.5和200 GeV质心能量中, 净质子数分布六阶矩的测量。在零重子化学势下,化学冻结线离相变温度很接近的时候,六阶重子数涨落被预言将为负值,这可能被用作平滑穿越的信号。我们在金金200 GeV碰撞中,对净质子数分布的六阶矩进行了测量。 发现从半中心到中心碰撞,我们均观察到了负值,而且不能被输运模型UrQMD解释。
2).集体流。 参与完成了金金碰撞7.7-200 GeV中的奇异粒子KS0, Λ和φ介子的直接流测量。我们发现当碰撞的能量小于14.5 GeV的时候:除φ介子之外的所有介子和产生重子(反重子)的直接流相对于快度的斜率均小于零。由于φ介子的强子散射截面较轻味粒子小,因此它被认为是核核碰撞早期过程的良好探针。这一实验现象可能意味着在低于14.5 GeV的核核碰撞中产生介质的性质与高于14.5 GeV的碰撞不一样。目前尚需理论计算的结果印证。该研究成果以主要贡献作者的身份发表在Phys. Rev. Lett. 120, 062301 (2018)上。
3). RHIC 能量扫描中轻核产额分析。 研究QCD相图是高能重离子中主要的目的之一, STAR合作组的实验覆盖了相图上较大的区域。轻核产额的测量研究工作,为相图的研究提供了又一有力的工具。通过系统地测量STAR实验中氕氘氚的产额,进一步为夸克胶子等离子体到强子物质的相变提供了证据, 也可以作为为一阶相变及零界点确定的又一观测量。该研究给出了STAR测量轻核的实验结果,为QCD相图及零界点的寻找做出了重要的贡献。 从QGP到强子物质相变的过程中, 随着时间的演化和温度的降低, 解禁闭的夸克束缚至强子中, 完成了化学冻结, 在此阶段强子的产额均已确定。末态的强子具有很高的动量, 弹性散射在演化过程中依然进行, 弹性散射进入末态标志这动力学冻结的完成。动力学冻结完成, 强子的动量分布谱最终确定, 测量到的轻核的谱可以从中提取出动力学冻结过程中的核子聚合信息。 STAR末态粒子中, 可以测量氕(一个核子)、氘(两个核子)、 氚(三个核子) 的横动量谱, 在核子聚合的模型中, 聚合参数可以通过氘核和氚核与氕核在给定动量区间内的比值算出, 同时该参数可以反映出局域核子密度和核子聚合的有效体积。在我们的测量结果中, 核子聚合参数依赖STAR碰撞能量有一个最小值, 该区域可能存在着物质状态方程的转变。氘核与氚核在STAR最高能量值处出现不吻合的结果, 这也意味着氘核和氚核的形成机制在该能量区域不完全是核子聚合机制, 更多具体的机制还需要进一步的研究。我们测量的STAR核子聚合的实验结果,如图所示。
我们在得到轻核的横动量谱之后, 在整个横动量空间内积分, 便得到了轻核的产额。在热模型中, 巨正则系宗可描述的系统内, 物质达到热力学平衡, 系统的各个参数可以通过求解配分函数的到。通过轻核产额的比值, 体积效应可以抵消, 实验结果可以与热力学模型结果相比较。我们发现热模型不能描述我们测量到的氚核的产生。测量结果如图所示。
从QGP到强子的相变过程中, 因为一阶相变引起较强的核子密度涨落,从而在动力学冻结过程中可以引起较强的强子密度涨落。STAR所测量到的中子数密度涨落依赖于能量有一个非单调的行为, 在核核碰撞质心系能量为20-30 GeV 能区中有一个最大值, 该行为可以反映在该能区内中子数密度涨落出现了最大值, 也意味着该区域内核子的关联受到的相变的影响, 我们认为该结果在一阶相变和临界点的确定将会起着重要的作用。
4)整体极化 在RHIC-STAR实验中,金核+金核在质心系能量为200GeV的碰撞下,通过鉴别proton和pi介子,我们重建了Λ超子,由于Λ超子是弱衰变,衰变之后的质子动量方向和Λ超子的自旋方向趋向一致。为了了解系统的涡旋的演化过程,我们在不同方位角下,测量了Λ超子的全局极化参数, 并且提出了分辨率的修正方法,经过修正之后,极化参数对方位角的依赖性较修正之前有了提高。我们发现,极化参数在in-plane方向明显高于out-of-plane方向。这说明碰撞系统在初始的时候,涡旋在in-plane方向达到最大,但由于QGP的低粘滞性,涡旋无法有效的传递到out-of-plane方向。
利用多相输运模 型AMPT,我们与AMPT模型的作者之一林子威教授合作,将φ介子的自旋排列信息和Lamb da超子的整体极化信息加入到该模型之中。研究了强子散射过程和重离子实验装置接受 度的局限对观测量的影响。我们的研究结果表明,末态强子散射过程对整体极化的参数 影响甚微,但相空间接受度的局限对φ介子的自旋排列参数的提取有较大影响。进一步 的,以RHIC-STAR接受度为例,我们发现在没有任何自旋排列信息作为输入的情况下可以 观察到φ介子自旋密度矩阵参数ρ00大于1/3(ρ00偏离1/3代表可能的自旋排列信 号)。为了验证这一结论,我们构建了玩具模型,该模型仅包含φ介子的相空间和衰变 的动力学信息。我们加上STAR实验接受度的截断条件并利用玩具模型计算ρ00,得到 了和AMPT一致的大于1/3的结果。同时AMPT模型和玩具模型得到的ρ00的数值大小和ST AR组在Quark Matter 2017以及Strangeness in Quark Matter 2017大会上展示的初步结 果一致,说明矢量介子自旋排列的信号需扣除重离子实验中的接受度效应。而对Lambda 超子而言,接受度的效应要小的多,STAR实验已经有相应的修正。研究结果发表在Phys. Lett. B 780 (2018) 319上。 5). STAR实验重味物理的实验研究 200 GeV金金碰撞中DS粒子产生的研究:完成了DS粒子横动量谱的测量。通过与中性D介子D0比较发现DS的产额相比于电子电子,质子质子和电子质子碰撞系统有明显的增强。RHIC能区200 GeV的核核碰撞与LHC能区的核核碰撞Ds/D0比值在误差范围内一致。DS产额的增强一方面来源于核核碰撞中奇异数的增强和夸克级联的强子化机制。通过与理论计算的结果相比较,我们发现实验数据与基于Ds强子化时间早于D0的模型计算符合较好。该研究结果在国际学术会议QM2018和ATHIC2018上报告,目前正在总结发表的过程中。
200 GeV金金碰撞中开粲/底强子衰变产生的非光电子产额分离:利用HFT探测器,STAR实验第一次采用DCA的方法实现对B/D衰变产生的非光电子产额的分离:Run14数据呈现了部分子能量损失对其质量的依赖性,即ΔEc > ΔEb (~2�� at 3-8 GeV/c)。该结果在Quark Matter 2017上呈现【Nucl. Phys. A 967 (2017) 632–635】。 
(左)Run14数据采用碰撞参数方法抽取的来自于B强子半轻子道衰变产生的非光电子份额;(右)Run14数据中D/B强子衰变产生的非光电子的核修正因子RAA分布。 200 GeV质子-金核碰撞中非光电子核修正因子的测量:STAR实验第一次利用Run15 200 GeV下质子-金核碰撞数据开展非光电子的测量,并结合质子-质子碰撞数据测量非光电子的核修正因子RpA,以研究冷核物质效应。该项工作还在进行当中。
Run15质子-质子和质子-金核碰撞中未修正的电子谱(左)与非光电子谱(右)。 6). 类喷注关联形状的事件平面关联性测量 在高能核核碰撞的初期的硬散射所产生的高能部分子,这些部分子在穿透夸克胶子等离子体时会发生相互作用,我们称之为喷注淬火。实验上,我们通过测量末态带电强子二粒子方位角关联来研究喷注与介质的相互作用。 实验室的末态带电粒子的二粒子方位角关联测量被广泛应用,但是我们需要扣除集体流的贡献。通常的扣除集体流的办法需要对其幅度以及形状进行估算。但是这种估算会带来额外的不确定因素。我们发展出了一种全新的集体流扣除方法, 我们不对集体流作任何在形状和尺度上的估算。我们利用集体流相对赝快度对称的特征,从而利用实验数据本身即可扣除背景。方法可以总结如下: 近域方位角关联=集体流贡献+近端喷注贡献+远端喷注贡献*较大份额 远域方位角关联=集体流贡献+近端喷注贡献+远端喷注贡献*较小份额 这里我们假设“较大份额”与“较小份额”均为常数,并且与赝快度间隔无关。 这样我们可以看到二者的差值便只包含远端喷注的贡献,可以表示为一下的关系式: 近域-远域方位角关联=远端喷注贡献*常数 上面的关系式是在没有对集体流背景作任何幅度和形状的假设下得到了只包含远端喷注贡献的带电粒子二粒子方位角关联函数。在半中心金-金核碰撞的重叠区域为杏仁状,碰撞参数与横平面所张开的平面决定事件平面的方向,我们进一步定义沿着事件平面方向的喷注为“平面内” 喷注,同理,在与事件平面方向相垂直方向的喷注,我们称之为“平面外”喷注。 在碰撞早期的部分子硬散射产生的“双喷注”,其实质为两束背对背的喷注。在我们的研究中,我们采用了位于美国布鲁克海文国家实验室中的相对论重离子 对撞机在 2011 年所采集的200 GeV的金金核碰撞,探测器为 STAR(即螺旋径迹 探测器)。其时间投影室所探测到的带电粒子赝快度覆盖范围为-1 到 1,它为一 个 360 度全方位角探测器,我们分析中所用的带电粒子即来自于时间投影室。为 了将事件平面与触发粒子之间的关联降为最低,我们采用了STAR 的束流计数器 来重建事件平面。它的优点是与位于中心快度区的时间投影室有若干个单位的赝快度间隔,缺点是对于200GeV 能量下的金金核碰撞,所重建出的事件平面有着比较低的分辨率。实验上我们通常用高横动量的触发粒子来表征喷注。我们定义 为触发粒子方位角与事件平面的夹角。这样在一个双喷注的情形下,对于不同 的触发粒子对应喷注的远端喷注,它们在穿透 QGP 介质时将会经历不同程度的能量损失。也就是,相比较大 的双喷注,较小 区间的双喷注的远端喷注将会经历较小的能量损失。
我们分别计算了在不同的 区间下的近区和远区的二粒子方位角关联函数。进 一步我们通过计算二者的差别从而得到仅包含远端喷注贡献都关联形状,我们用 高斯函数拟合了数据,并且用高斯宽度其表征远端喷注的关联宽度。对于计算得 到的原始数据,我们得到了关联宽度随 的增长只有轻微的增长。
我们通过一个“展开”的技术去修正所测量到的原始结果。原始结果由于较差 的事件平面分辨率而被严重涂抹,从而导致我们看到在不同的 下的关联函数 有着类似的形状(比如较外平面的关联函数在远端未发现“双峰”结构)。我们采用了 TUnfold 软件包,该软件包能够为多维度的分布提供迁移及背景修正的功能。 该软件需要我们提供我们所测量到的 分布、真实的 分布以及迁移信息。 TUnfold 将迁移信息以二维直方图的形式存储,然后我们利用 TUnfold 软件包去 修正了原始关联数据,得到了事件平面分辨率修正后的在不同 下的近区和远区关联形状,同样,我们计算了近区和远区之间的区别,从而得到了修正后的远 端关联形状。我们在用高斯函数拟合了数据点后,即得到了修正后的远端关联宽 度随 的关系。我们分别用线性函数拟合了原始和修正后的关联宽度随 的关系,我们可以看到修正后的斜率为原始斜率的 8 倍。我们得到的结果与喷注介质之间的相互作用理论预期相吻合。该研究成果分别在美国物理学会2018四月会议、第四十八届多粒子动力学国际研讨过以及Hard Probes2018上汇报。 2018年度课题组主办国际会议3,国际会议报告近20次。 文章: 1. STAR, Collision Energy Dependence of Moments of Net-Kaon Multiplicity Distributions at RHIC, Phys. Lett. B 785 (2018) 551 2. STAR, Beam-Energy Dependence of Directed Flow of Λ, Λ ̄ , K , K0s , and φ in Au + Au Collisions, Phys. Rev. Lett., 2018, 120, 062301 3. 兰少位,林子威,施梳苏,孙旭,Effects of finite coverage on global polarization observables in heavy ion collisions, Phys. Lett. B, 2018, 2018, 780, 319 4. Y. Nara, H. Niemi, A. Ohnishi, J. Steinheimer, 罗晓峰,H. Stocker, Enhancement of elliptic flow can signal a first-order phase transition in high-energy heavy-ion collisions, Eur. Phys. J. A, 2018, 54, 18 5. 陈佳敏,罗晓峰,刘峰,Y. Nara, Effects of mean field and softening of equation of state on elliptic flow in Au+Au collisions at 5 GeV from the JAM model, Chinese Physics C, 2018, 42, 024001 6. 张潮, 陈佳敏, 罗晓峰, 刘峰 and Yasushi Nara, Event-by-Event Efficiency Fluctuations and Efficiency Correction for Cumulants of Superposed Multiplicity Distributions in Relativistic Heavy-ion Collision Experiments, Phys. Rev. C, 2018, 97, 064913 7. A. H. Tang, 涂彪 and C. S. Zhou, Practical considerations for measuring global spin alignment of vector mesons in relativistic heavy ion collisions, Phys. Rev. C, 2018, 98, 044907 2、ALICE合作组进展: 1)、LHC能区夸克物质性质的实验研究 (1)D介子核压低因子的实验研究。基于ALICE第二期运行阶段更大的数据统计量,对每核子对质心能(√sNN)为5.02 TeV的铅核-铅核碰撞中D介子核压低因子进行了更为精确的测量(如图1.1所示)。在更高精度下,再次确认了第一期运行数据中所观测到的D介子产额的强压低效应。通过与理论计算进行对比,对粲夸克在夸克物质内的扩散系数进行了初步标定,其范围为:(1.5 - 7) / 2πTc。与此研究对应的ALICE实验组SCI论文发表于【JHEP 1810 (2018) 174】。
图1.1 √sNN = 5.02 TeV的铅核-铅核对心碰撞中D介子的核压低因子。 (2)喷注的产生特性的研究。在√sNN = 5.02 TeV铅核-铅核碰撞事件中分别对分辨率参数R = 0.2和0.3的带电粒子喷注的核压低因子进行了测量(如图1.2所示)。观测到:喷注的核压低效应随碰撞对心度的增大(从对心到非对心碰撞)而减弱;相同碰撞对心度事件中,R = 0.2和0.3的喷注的核压低因子在误差范围内一致。上述现象表明:喷注的核压低源于夸克物质效应,高能硬部分子在穿越夸克物质后所形成喷注的能量主要集中在一个较小的核心内。结果于2018年5月获批为ALICE Preliminary。于此分析相应的ALICE实验组文章初稿正在撰写中,计划于2019年1月向ALICE实验组提交文章发表申请。
图1.2 √sNN = 5.02 TeV的铅核-铅核碰撞中带电粒子喷注的和压低因子。 (3)喷注结构的研究。在√sNN = 2.76 TeV的铅核-铅核碰撞数据中首次对LHC能区重离子碰撞中的喷注质量进行了测量(如图1.3所示)。比较实验结果与理论模型,表明:铅核-铅核碰撞中的喷注质量分布与质子-质子碰撞中相似,但其平均值小于质子-质子碰撞中的结果,硬部分子与夸克物质相互作用的过程中将有一部分能量被散射到了喷注锥角之外;含有硬部分子与夸克物质间多重散射机制的模型并不符合实验观测,而只含有单次硬散射机制的理论模型符合实验数据。此研究对理解硬部分子与夸克物质的相互作用机制以及夸克物质内部结构将起到关键作用。与此研究对应的ALICE实验组SCI论文发表于【Phys. Lett. B776 (2018) 249】。
图1.3 √sNN = 2.76 TeV的铅核-铅核碰撞的喷注质量。 (4)多奇异重子各项异性流的研究。基于ALICE二期运行中√sNN = 5.02 TeV的铅核-铅核碰撞数据,分析了不同碰撞对心度下多奇异重子的椭圆流和三角流的横动量分布,发现:在低横动量区,椭圆流和三角流都存在按质量排序的行为;在中等横动量区,椭圆流和三角流的组份夸克数目标度行为都有一定的破坏(如图1.4、1.5所示)。研究结果已通过ALICE实验组审核,获批为ALICE Preliminary,并在QM 2018、ICHEP2018和ATHIC2018等国际会议上进行了报告。
图1.4 组份夸克数目标度后的椭圆流的分布。
图1.5 组份夸克数目标度后的三角流的分布。 (5)氙核-氙核碰撞末态粒子多重数的研究。在不同对心度下对√sNN = 5.44 TeV的氙核-氙核碰撞末态带电粒子多重数进行了测量。结果表明:对心碰撞中带电粒子多重数密度符合由对不同√sNN的其它碰撞系统的测量所建立的参与碰撞核子数的标度性(如图1.6左所示);对心氙核-氙核碰撞末态粒子的平均多重数高于铅核-铅核碰撞中的测量结果(如图1.6右所示),此现象与理论计算相符。与此研究所对应的ALICE实验论文已通过实验组内部评审,目前发表于【arXiv:1805.04432】,并已向【Phys. Lett. B】投稿。 
图1.6 多重数密度随碰撞能量和体系(左)以及随碰撞对心度(右)的演化关系。 2)、小系统碰撞中粒子的产生特性的实验研究 (1)喷注的产生特性以及喷注化学组份的研究。基于ALICE第二期运行的大数据统计量,在√s = 13 TeV的质子-质子碰撞中分别对具有不同末态粒子多重数的事件中的喷注产额以及喷注中的奇异、多奇异强子组份进行了测量。观测结果表明:在具有不同末态粒子多重数的事件中,分辨率参数为R = 0.2和0.4的喷注间的产额比与最小无偏事件中相同(图2.1左);喷注内多奇异(Ξ)与奇异(Λ)重子的产额比对横动量没有明显的依赖,最小无偏事件中多奇异与奇异重子在中等横动量区间的增强效应主要来自于伴随事件(underlying event)的贡献(图2.1右)。上述研究结果均已通过ALICE实验组审核,并获批为ALICE Preliminary。 
图2.1喷注产额比(左);多奇异-奇异重子比(右)。 (2)重味粒子的产生、关联特性研究。在√s = 13 TeV的质子-质子碰撞中和在√sNN = 8.16 TeV的质子-铅核碰撞中分别对底夸克偶素(Υ (1S)、Υ(1S))产额对事件多重数的依赖性和对重味缪子的椭圆流进行了测量。研究结果显示:质子-质子碰撞中底夸克偶素产额随事件多重数线性增长,多重部分子散射效应对其产额的影响不可忽略(图2.2左);质子-铅核碰撞中重味缪子中等横动量区间的椭圆流不为零(图2.2右),此现象虽然可解释为重夸克在高多重数的质子-铅核碰撞中存在由流体力学演化而导致的集体关联行为,但仍不能排除如色重联等冷核末态效应对重味粒子的产生的影响。上述研究结果均已通过ALICE实验组审核,并获批为ALICE Preliminary。 
图2.2 底夸克偶素产额对事件多重数的依赖性(左);重味缪子椭圆流(右)。 2018年度ALICE课题组发表论文6篇,主办国际会议2次,国际会议报告28个,参加国际会议35人次。 高水平论文列表: 【1】ALICE Collaboration, “Measurement of D0, D+, D*+ and Ds production in Pb-Pb collisions at √sNN = 5.02 TeV”, JHEP 1810 (2018) 174 【2】ALICE Collaboration, “First measurement of jet mass in Pb-Pb and p-Pb collisions at the LHC”, Phys. Lett. B776 (2018) 249 【3】Liang Zheng, E. C. Aschenauer, J. H. Lee, Bo-Wen Xiao and Zhong-Bao Yin, “Accessing the gluon Sivers function at a future electron-ion collider”, Phys. Rev. D98 (2018) 034011 【4】Liang Zheng, Dai-Mei Zhou, Zhong-Bao Yin and et al., “Effect of single string structure and multiple string interaction on strange particle production in pp collisions at √sNN = 7 TeV”, Phys. Rev. C98 (2018) 034917. 【5】Duan She, Sheng-Qin Feng, Yang Zhong and Zhong-Bao Yin, “Chiral magnetic currents with QGP medium response in heavy-ion collisions at RHIC and LHC energies”, Eur. Phys. J. A54 (2018) 48 【6】Sheng-Qin Feng, Xin Ai, Lei Pei, Fei Sun, Yang Zhong and Zhong-Bao Yin, “Estimation of the chiral magnetic effect considering the magnetic field response of the QGP medium”, Chinese Physics C42 (2018) 054102. 3. 粒子物理: 1)首次测量双粲重子寿命 在实验上首次发现双粲重子(该成果由我校LHCb实验团队作出重要贡献,并于今年初获科学技术部基础研究管理中心颁发的“2017年度中国科学十大进展”。)之后,课题组随后对这个粒子的寿命进行了测量。寿命的测量对于理解双粲重子的性质有着非常重要的意义,能用来确定是否为弱衰变,并且理论上对于其寿命的预言在一个相当大的范围内变动,因此实验上测量寿命可以检验各种理论模型的预言。用来测量寿命的衰变时间分布谱型如下图所示。文章发表在了物理评论快报【Phys.Rev.Lett.121.052002 (2018)】,并被选为“Editors’ Suggestion”。  2)首次发现双粲重子的新衰变模式 在首次发现双粲重子并对寿命进行测量之后,也需要寻找新的衰变模式来确认。根据理论计算, 作为衰变分支比较大的衰变模式,非常有希望在实验上观测到。因此,我们使用了神经元网络多变量分析的方法进行事例筛选,最终在LHCb 2016年取得的数据中得到了大约90个信号事例。信号事例的质量拟合如下图所示。在测量双粲重子的质量的同时,也测量了其衰变分支比,独立地验证了之前的双粲重子发现和质量测量结果,最终结果发表在了【Phys. Rev. Lett. 121, 162002 (2018)】。
3)味物理反常和中微子质量起源的研究 最近,B介子工厂和LHCb实验发现多个B介子半轻衰变的实验数据与标准模型预言存在一定程度的偏离,比如反映轻子普适性的比值 和 。为了解释这些实验现象,我们研究了基于2HDM-III框架的低标度Type-I Seesaw模型。如下图所示,我们发现,这个模型在满足其它实验限制后仍可以在 水平下同时解释目前 和 的实验测量,并且可以产生小的中微子质量。相关结果发表在了【李少平,李新强,杨亚东,张欣,JHEP09(2018)149】。 
4) 轻子味破坏 半轻衰变中R宇称破缺超对称效应的研究 最近,B介子工厂和LHCb实验相继发现 和 半轻衰变中存在轻子普适性破坏的迹象。受此启发,我们系统的研究了R宇称破缺超对称效应对轻子味破坏的半轻衰变 的影响。如下图所示,在考虑了最新的 和 衰变分支比的实验上限后,我们发现 衰变的分支比对squark和sneutrino交换耦合乘积的模十分敏感。同时,我们也给出了这一效应对轻子的不变质量谱,轻子极化不对称,前后不对称等可观测量的预言。这些结果与LHC上对超对称信号的直接寻找相互补充,并且可以在将来的LHCb和Belle-II上得到检验。相关结果发表在了【盛金环,J. J. Song,R. M. Wang, 杨亚东,Nucl. Phys. B930, 69】。 
5)两圈图层次中微子质量起源机制的研究 我们提出了一类新的两圈图层次上产生中微子质量的模式,针对圈中粒子为不同量子数可能,比如双电荷标量粒子、diquark或Leptoquark、暗物质粒子等,仔细研究了如何在对撞机上选择合适的探测通道来甄别这些不同的模型实现形式。此项工作为两圈图中微子模型构造及其检验提供一种新思路和方法,相关结果发表在了【Q. H. Cao, 陈绍龙,E. Ma,B. Yan, D. M. Zhang, Phys. Lett. B779 (2018) 430】。
2018年度课题组发表论文10余篇,主办国内会议1次,参加国际会议5人次。 高水平论文列表: 1. Measurement of the Lifetime of the Doubly Charmed Baryon LHCb Collaboration Phys.Rev.Lett.121(2018)052002 2. First observation of the doubly charmed baryon decay  LHCb Collaboration Phys.Rev.Lett.121(2018)162002 3. , and neutrino mass in the 2HDM-III with right-handed neutrinos Shao-Ping Li, Xin-Qiang Li, Ya-Dong Yang, Xin Zhang JHEP 1809 (2018) 149 4. The lepton flavor violating exclusive decays in SUSY without R-parity Jin-Huan Sheng, Jia-Jia Song, Ru-Min Wang, Ya-Dong Yang Nucl.Phys. B930 (2018) 69-90 5. Studying boson contributions in decays within general models Yi-Long Wang, Bin Wei, Jin-Huan Sheng, Ru-Min Wang, Ya-Dong Yang J.Phys. G45 (2018) no.5, 055002 6. Decay constants of pseudoscalar and vector mesons with improved holographic wavefunction Qin Chang, Xiao-Nan Li, Xin-Qiang Li, Fang Su Chin.Phys. C42 (2018) no.7, 073102 7. Probing the R-parity violating supersymmetric effects in and decays Jie Zhu, Bin Wei, Jin-Huan Sheng, Ru-Min Wang, Yang Gao, Gong-Ru Lu Nucl.Phys. B934 (2018) 380-395 8. Light flavon signals at electron-photon colliders Yu Muramatsu, Takaaki Nomura, Yusuke Shimizu, Hiroshi Yokoya Phys.Rev.D97,(2018) 015003 9. Flavor physics in the multi-Higgs doublet models induced by the left-right symmetry Syuhei Iguro, Yu Muramatsu, Yuji Omura, Yoshihiro Shigekami JHEP 1811 (2018) 046 10. On UltraViolet Freeze-in Dark Matter during Reheating Shao-Long Chen, Zhaofeng Kang JCAP 1805 (2018) 036 11. New Class of Two-Loop Neutrino Mass Models with Distinguishable Phenomenology Qing-Hong Cao, Shao-Long Chen, Ernest Ma, Bin Yan, Dong-Ming Zhang Phys.Lett. B779 (2018) 430-435 4. 核科学计算中心及其格点量子色动力学研究: 1) 计算中心建设进展: (1)设计建成了华中师范大学核科学计算中心,理论峰值为每秒1千万亿次浮点运算,入选了2018年6月发布的全球最快的500 套计算集群
(Top 500),位列466名,亦入选了全球最节能的500套计算机集群(Top Green 500),位列第268位。 https://www.top500.org/list/2018/06/?page=5 https://www.top500.org/files/green500/green500_top_201806.xls (2) 发表 4篇论文,其中一篇PRD,三篇会议文集EPJ Conf。 (3)一名博士毕业,毕业后即在德国Bielefeld大学从事博士后研究;一名博士后出站,出站后即在日本理化研究在美国布鲁克海文国家实验室的分部从事博士后研究 2)发表文章主要内容简介 我们发展了在格点QCD中从两点关联函数抽取谱函数的新的方法。这个方法推广了Maximum Entropy Method所采用的平均场近似到更一般的情况。它是基于贝叶斯理论的一个随机方法。我们分析了在0.75和1.5Tc时的格点数据,发现此新方法给出了与Maximum Entropy Method一致的结果, 从而可以缩小在抽取谱函数中存在的系统不确定度。”Stochastic reconstructions of spectral functions: Application to lattice QCD,“ H. T. Ding, O. Kaczmarek, S. Mukherjee, H. Ohno and H. T. Shu, Phys. Rev. D 97 (2018) no. 9, 094503. 3)正在进行的工作 · 精确计算在零重子化学势能下的QCD相转变温度的大小,以及此温度在小重子化学势能时随化学势能的变化。估计这个月投稿。 · 计算在手征极限下QCD相转变的温度,估计明年年初投稿 · 准备计算机中心第二批设备的购买,计划扩容至2 PFlops/s · 准备计算中心会议室装修,及宣传工作,还有2018年计算中心已招标项目的收尾工作 5. 天体物理与复杂性: 1)引力波电磁对应体kilonova研究 2017年,双中子星并合引力波信号(GW170817)的首次发现以及对其成协千新星(AT2017gfo)的观测证实,极大地推动了引力波电磁对应体特别是千新星的研究。尽管单纯由放射性供能的千新星模型可以为AT2017gfo观测提供较好的拟合结果,但拟合所需要的参数数值实际上仍然存在不尽合理的地方,相反很可能指向并合后中子星的长时间存在。我们在本年度研究发现,一种情况下,AT2017gfo 的所有辐射可能均由中子星供能,而抛射物仍然具有两种主要的不透明度(Li et al. 2018, ApJL, 861, L12)。这里抛射物的质量可以远低于0.01M⊙。另一种情况下,AT2017gfo具有混合型能源,即其早期辐射由放射性能源供给,而后期辐射则由中子星能源供给,这也可以适当降低对抛射物质量的要求(Yu et al. 2018, ApJ, 861, 114)。这里,中子星辐射成分的滞后是其全部能量均从抛射物底部开始扩散的自然结果。换句话说,抛射物总体上只要一个基本均匀的中等数值不透明度。该不透明度的造成可能是中子星中微子辐射和星风X射线辐射电离效应共同作用的结果。 2)磁星供能超亮超新星研究 贫氢超亮超新星可能由新生毫秒磁星的磁偶极辐射供能产生的一类特殊超新星。在考虑新生磁星的热演化、自转演化、磁倾角演化和可能的中子超流临界温度的基础上,我们得到了磁星供能的超亮超新星光变。结果显示,对一定的中子超流临界温度,磁星内部环向磁场,直接Urca核的半径和初始自转,理论得到的光变曲线在峰值光度后会出现鼓包,且鼓包出现时间,大小与这些参数密切相关(Cheng et al. 2018, PRD, 97, 103012)。我们首次提出,通过拟合观测到的具有这类鼓包的光变曲线,可得到中子超流临界温度,内部环向磁场强度,星体内部结构,初始自转这些重要的磁星物理参数。 3)快速射电暴研究 快速射电暴(FRB)是类似起源未知的神秘天文现象,有不少学者提出它们可能与致密天体双星系统的并合有关。鉴于可以从FRB的色散量推断它们的宇宙学距离,我们研究了22个Parkes FRB的红移、光度分布。通过在宇宙恒星形成历史基础上考虑双星并合的时间延迟,我们发现并合模型可以很好的解释FRB的观测分布,相应的特征时延从几十到几百Myr、本地事件率则为3到6万次每年每立方Gpc(Cao et al. 2018, ApJ, 858, 89)。这些结论表明,FRB很可能起源于双中子星或双白矮星并合产生的产物(大质量中子星或大质量白矮星)。此外,基于相同的思路,我们也检验了FRB起源于超导宇宙弦电磁爆发的可能性(Cao & Yu 2018, PRD, 97, 023022)。 4) 吸积中子星研究 吸积中子星可以当做中子星内部物理很好的探针。当中子星周围存在一个密度更低的伴星时,中子星可以通过吸积盘将其伴星的物质吸收过来。我们主要从两个方面展开工作。一方面,新吸积的物质不断堆积在之前吸积的物质上,导致中子星壳层被不断压缩产生化学偏离。我们研究发现化学偏离的存在会加速中微子释放从而使冷却更剧烈。吸积率越大,压缩越强烈,化学偏离越大,有可能会影响比如superburst爆发的深度(Wang et al. 2018, PRC, 98, 015801)。另一方面,最近有研究发现传统的化学加热无法解释脉冲星PSR B0950+08表面温度较高的问题,我们假设这颗源周围存在一个吸积盘,同时考虑吸积盘吸积和磁场演化对化学加热的影响,发现通过调整回落吸积盘的质量,可以使得这颗脉冲星的表面温度、旋转周期以及磁场强度和当前观测值同时很好地吻合(Wei etal. 2018, MNRAS, 478, 2267)。 5) 反弹暴涨理论的观测信号探究 该工作的目的在于用现行的观测数据来探测反弹宇宙学的特征。基于含有高阶导数的反弹暴涨宇宙学模型,我们提出了原初功率谱的一般参数化形式,该形式包含描述反弹过程的关键性参量,如反弹的时间标度以及能量标度等等。利用马尔可夫链-蒙特卡罗分析方法,并结合2015年PLANCK数据、重子声速震荡(BAO)数据及超新星(JLA)数据,我们给出这些参量的概率分布。我们发现,反弹模型可以很好的解释CMB观测、特别是温度谱在大尺度上的缺失及震荡行为等。(Ni etal, 2018, EPJC 78, 8, 468)。 6)DBI形式动能项非最小耦合暴涨模型的研究 我们之前的工作提出了一种新的暴涨模型,该模型的有趣之处是由于其动能项的非线性性,扰动方程有一个正比于动量k的4次方的修正。但在大k及小k极限下,仍然可以得到观测所需的标度不变谱。在此项工作中,我们详细考察该模型在势能驱动下的时候的谱指数、谱指数跑动、跑动的跑动以及张标比,并于当前的PLANCK/BICEP等观测数据进行比较。我们发现所考虑的各参量均能很好的符合观测。我们同样讨论了该模型的张量谱,该谱有可能在将来的原初引力波观测实验中得到检验(Chen et al, CPC 42, 4, 045102)。 2018年度课题组发表论文10篇,参加国际会议2人次,出国/境访问2人次。申请获批国家自然科学基金优秀青年基金项目1项,金额130万元; 国家自然科学基金面上项目一项,金额58万元。 高水平论文列表: 1. Li, Shao-Ze; Liu, Liang-Duan; Yu, Yun-Wei; Zhang, Bing, What Powered the Optical Transient AT2017gfo Associated with GW170817? 2018, ApJ, 861, L12 2. Yu, Yun-Wei; Liu, Liang-Duan; Dai, Zi-Gao, A Long-lived Remnant Neutron Star after GW170817 Inferred from Its Associated Kilonova, 2018, ApJ, 861, 114 3. Cheng, Quan; Zhang, Shuang-Nan; Yu, Yun-Wei; Zheng, Xiao-Ping,Probing the physics of newly born magnetars through observation of superluminous supernovae, 2018, PRD, 97, 103012 4. Cao, Xiao-Feng; Yu, Yun-Wei; Zhou, Xia, Compact Binary Mergers and the Event Rate of Fast Radio Bursts, 2018, ApJ, 858, 89 5. Lai, Xiao-Yu; Yu, Yun-Wei; Zhou, En-Ping; Li, Yun-Yang; Xu, Ren-Xin, Merging strangeon stars, 2018, RAA, 18, 24 6. Cao, Xiao-Feng; Yu, Yun-Wei, Superconducting cosmic string loops as sources for fast radio burst, 2018, PRD, 97, 023022 7. Wei-Hua Wang, Xiao-Ping Zheng, Xi Huang, Kun Tian, Recursion relations connecting the net reaction rate with the total emissivity of neutrinos in nonequilibrium beta processes, Physical Review C, 2018, 98, 015801 8. Wei Wei, Xi-Wei Liu, Xiao-Ping Zheng, Roto-chemical heating in a neutron star with fall-back disc accretion, MNRAS, 2018, 478, 2267 9. Shulei Ni, Hong Li, Taotao Qiu, Wei Zheng, Xin Zhang, Probing signatures of bounce inflation with current observations, Eur.Phys.J.C78 (2018) no. 8, 608 10. Jun Chen, Wenjie Hou, Defu Hou, Taotao Qiu, Comparing potential-driven DBI-inspired non-minimal kinetic coupling (Dinkic) inflation with observational data, Chin.Phys.C42 (2018) no.4, 045102 6. 唯象组 1) RHIC能量扫描下质子数的间歇性质 测量了在RHIC/STAR能量扫描中7.7,11.5,14.5,19.6,27,39和 62.4 GeV金-金对撞下质子数的阶乘矩。在不同的中心度区间测量了二阶阶乘矩对于相空间分割数的依赖关系,寻找理论预言在相变临界点附近的标度行为。分别利用混合事件法(mix event)和累积变量的方法来寻找如何去除统计起伏等背景从而得到有效的反映系统动力学起伏的阶乘矩计算方法。我们的初步结果表明阶乘矩随横动量相空间的分割数的增加而增大,但是在高分割数时出现饱和(如图1所示),在目前的数据样本下没有观测到较好的标度性。我们计划接下来利用统计量更大的带电多重数的阶乘矩的做进一步的分析。该项工作的初步结果已在2018年10.30-11.2合肥召开的STAR Reginal Meeting上汇报。
图1:质子数的二阶阶乘矩随横动量空间分割数的关系。 1. 基于三维Ising模型的密度涨落与间歇指数的关系 利用三维Ising普适类的二级相变机制的临界蒙特卡洛模型来研究目前STAR实验上已经测量到的金-金碰撞在20-27GeV能区的大重子数密度起伏与表征无穷自相似性的间歇指数之间的关系。通过STAR实验已经测量的从7.7-200GeV的轻核粒子的产生得到的重子数密度起伏得到不同碰撞能量下的间歇指数。研究在不同BES I能量下的标度性质(如图2所示)。目前,该项成果已整理成文章,准备近期投稿,并已被2018.12.4-8在日本召开的第十三届核核碰撞国际学术会议(NN2018)上接收为poster报告。
图2:(a)间歇指数随密度起伏依赖关系;(b)RHIC不同碰撞能量下间歇指数。 2. 高能碰撞初期阶段中双胶子方位角关联的精细结构 为了更精细地研究高能碰撞中双胶子方位角上的关联特征,尤其是纵向快度对横向关联的影响,项目组成员在CGC EFT理论框架下研究了质心能量 TeV质子-质子碰撞中双胶子的方位角关联。由于快度 与费曼 有关系,即 ,不同快度的胶子,其 不同。研究结果显示:当胶子处于小 时,其方位角关联除了在 和 有两个峰之外,还有更为精细的结构——在相对方位角为0和 之间的区域关联有小的凸起和双肩结构(如图3所示)。方位角关联的这种精细结构只有在小 才出现,是胶子饱和特有的。上述工作已发表在Physical Review D 97, 034003 (2018)。
图3:方位角关联在0和pi之间的区域有精细结构。 3. 利用临界点和一级相变的固定点性质来确定QCD相边界 在重离子碰撞中寻找QCD临界点和相边界时把非单调行为作为信号是不足以精确地确定相边界或临界点的,还需要做有限尺度标度分析。有限尺度标度性的成立就意味着固定点的存在。项目组成员研究了如何利用固定点性质定量地确定相边界。对于临界点和一级相变,随着温度逐渐趋近临界温度或者相变温度,不同系统尺度下的观察量会逐渐趋于一个常数,也就是汇聚于一个固定点。对于crossover,由于观察量不依赖于尺度,所以没有固定点。为了能够更加精确地找到固定点的位置,我们定义了尺度标度的观察量之间的宽度D,并且通过变化温度和标度指数在其平面上寻找D的最小值。这个最小值就对应固定点,最小值处的温度和标度指数就是相应的临界(相变)温度和临界(相变)指数。我们还用三维三态Potts模型验证了上述方法,结果表明,无论是一级相变还是临界点,我们都在温度和标度指数平面找到了D的最小值,也就是找到了固定点,如图4(a)(b)所示。并且由此方法确定的相变温度和标度指数与其他方法得到的值一致,图4(c)结果显示,D值最小值不依赖于温度,并且在标度指数为0附近时呈现带状分布,表明观察量不依赖于系统尺度,符合Crossover特征。在重离子碰撞实验中,一旦能准确定义系统尺度,就有希望利用找D的极小值的方法来确定QCD的相边界。该工作已提交至arXiv: 1805.04311。
图4:不同相变类型的D值分布,(a),(b)和(c)分别代表临界点,一级相变和平滑过渡。 发表文章目录 1. Hengying Zhang, Donghai Zhang, Yeyin Zhao, Mingmei Xu, Xue Pan, Yuanfang Wu, Fine structures of azimuthal correlations of two gluons in the glasma, Phys. Rev. D 97, 034003 (2018). 2. Xue Pan, Yu-Fu Lin, Li-Zhu Chen, Ming-Mei Xu, Yuan-Fang Wu, Poisson baseline of net-charge fluctuations in relativistic heavy ion collisions, Chinese Physics C Vol. 42, 074104(2018). 3. Xue Pan, Yanhua Zhang, Lizhu Chen, Mingmei Xu, Yuanfang Wu, Finite-size behaviour of generalized susceptibilities in the whole phase plane of the Potts model, Chinese Physics C Vol. 42, 023110(2018). 4. Yanhua Zhang, Xue Pan, Lizhu Chen, Mingmei Xu, Zhiming Li, Yeyin Zhao, and Yuanfang Wu, How to locate the QCD phase boundary by scanning observable in the phase plane, arXiv:1805.04311. 参加国际国内学术会议报告情况 吴元芳:XLVIII International Symposium on Multiparticle Dynamics (ISMD 2018), Sept. 3 - Sept. 7 2018, Singapore,How to locate the QCD phase boundary by scanning observable in the phase plane (大会报告) 李治明:13th International Conference of Nucleus-nuculeus Collisions (NN2018) , Dec. 4 - Dec. 8 2018, Omiya, Saitama, Japan, Probing large density fluctuations from intermittency analysis in relativistic heavy-ion collisions (墙报) 吴锦:STAR Regional Meeting, Oct. 31 - Nov. 2, 2018, He’fei, China. Proton Intermittency Analysis in Au + Au Collisions at RHIC BES-I Energies (分会场报告). 张雁华: The 7th Asian Triangle Heavy-Ion Conference (ATHIC 2018), November 3-6,2018,He’fei,China. How to locate the QCD phase boundary by scanning observable in the phase plane(分会场报告). |